Probability Distribution | Formula, Types, & Examples

A probability distribution is a mathematical function that describes the probability of different possible values of a variable. Probability distributions are often depicted using graphs or probability tables.

Example: Probability distribution
We can describe the probability distribution of one coin flip using a probability table:

Outcome Probability
Heads Tails
.5 .5

Common probability distributions include the binomial distribution, Poisson distribution, and uniform distribution. Certain types of probability distributions are used in hypothesis testing, including the standard normal distribution, Student’s t distribution, and the F distribution.

What is a probability distribution?

A probability distribution is an idealized frequency distribution.

A frequency distribution describes a specific sample or dataset. It’s the number of times each possible value of a variable occurs in the dataset.

The number of times a value occurs in a sample is determined by its probability of occurrence. Probability is a number between 0 and 1 that says how likely something is to occur:

  • 0 means it’s impossible.
  • 1 means it’s certain.

The higher the probability of a value, the higher its frequency in a sample.

More specifically, the probability of a value is its relative frequency in an infinitely large sample.

Infinitely large samples are impossible in real life, so probability distributions are theoretical. They’re idealized versions of frequency distributions that aim to describe the population the sample was drawn from.

Probability distributions are used to describe the populations of real-life variables, like coin tosses or the weight of chicken eggs. They’re also used in hypothesis testing to determine p values.

Example: Probability distributions are idealized frequency distributions
Imagine that an egg farmer wants to know the probability of an egg from her farm being a certain size.

The farmer weighs 100 random eggs and describes their frequency distribution using a histogram:

frequency_distribution_example_egg_weight

She can get a rough idea of the probability of different egg sizes directly from this frequency distribution. For example, she can see that there’s a high probability of an egg being around 1.9 oz., and there’s a low probability of an egg being bigger than 2.1 oz.

Suppose the farmer wants more precise probability estimates. One option is to improve her estimates by weighing many more eggs.

A better option is to recognize that egg size appears to follow a common probability distribution called a normal distribution. The farmer can make an idealized version of the egg weight distribution by assuming the weights are normally distributed:

normal_distribution_example_egg_weight

Since normal distributions are well understood by statisticians, the farmer can calculate precise probability estimates, even with a relatively small sample size.

Variables that follow a probability distribution are called random variables. There’s special notation you can use to say that a random variable follows a specific distribution:

  • Random variables are usually denoted by X.
  • The ~ (tilde) symbol means “follows the distribution.”
  • The distribution is denoted by a capital letter (usually the first letter of the distribution’s name), followed by brackets that contain the distribution’s parameters.

For example, the following notation means “the random variable X follows a normal distribution with a mean of µ and a variance of σ2.”

X \sim N(\mu,\sigma^2)

There are two types of probability distributions:

Discrete probability distributions

A discrete probability distribution is a probability distribution of a categorical or discrete variable.

Discrete probability distributions only include the probabilities of values that are possible. In other words, a discrete probability distribution doesn’t include any values with a probability of zero. For example, a probability distribution of dice rolls doesn’t include 2.5 since it’s not a possible outcome of dice rolls.

The probability of all possible values in a discrete probability distribution add up to one. It’s certain (i.e., a probability of one) that an observation will have one of the possible values.

Probability tables

A probability table represents the discrete probability distribution of a categorical variable. Probability tables can also represent a discrete variable with only a few possible values or a continuous variable that’s been grouped into class intervals.

A probability table is composed of two columns:

  • The values or class intervals
  • Their probabilities
Example: Probability table
A robot greets people using a random greeting. The probability distribution of the greetings is described by the following probability table:

Greeting Probability
“Greetings, human!” .6
“Hi!” .1
“Salutations, organic life-form.” .2
“Howdy!” .1

Notice that all the probabilities are greater than zero and that they sum to one.

Probability mass functions

A probability mass function (PMF) is a mathematical function that describes a discrete probability distribution. It gives the probability of every possible value of a variable.

A probability mass function can be represented as an equation or as a graph.

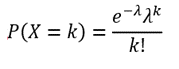
Example: Probability mass function
Imagine that the number of sweaters owned per person in the United States follows a Poisson distribution.

The probability mass function of the distribution is given by the formula:

P(X = k) = \dfrac{e^{-\lambda} \lambda^k}{k!}

Where:

  • P(X = k) is the probability that a person has exactly k sweaters
  • \lambda is the mean number of sweaters per person (\lambda = 3, in this case)
  • e is Euler’s constant (approximately 2.718)

This probability mass function can also be represented as a graph:

probability_example_egg_weight

Notice that the variable can only have certain values, which are represented by closed circles. You can have two sweaters or 10 sweaters, but you can’t have 3.8 sweaters.

The probability that a person owns zero sweaters is .05, the probability that they own one sweater is .15, and so on. If you add together all the probabilities for every possible number of sweaters a person can own, it will equal exactly 1.

Common discrete probability distributions

Distribution Description Example
Binomial Describes variables with two possible outcomes. It’s the probability distribution of the number of successes in n trials with p probability of success. The number of times a coin lands on heads when you toss it five times
Discrete uniform Describes events that have equal probabilities. The suit of a randomly drawn playing card
Poisson Describes count data. It gives the probability of an event happening k number of times within a given interval of time or space. The number of text messages received per day

Receive feedback on language, structure and formatting

Professional editors proofread and edit your paper by focusing on:

  • Academic style
  • Vague sentences
  • Grammar
  • Style consistency

See an example

Continuous probability distributions

A continuous probability distribution is the probability distribution of a continuous variable.

A continuous variable can have any value between its lowest and highest values. Therefore, continuous probability distributions include every number in the variable’s range.

The probability that a continuous variable will have any specific value is so infinitesimally small that it’s considered to have a probability of zero. However, the probability that a value will fall within a certain interval of values within its range is greater than zero.

Probability density functions

A probability density function (PDF) is a mathematical function that describes a continuous probability distribution. It provides the probability density of each value of a variable, which can be greater than one.

A probability density function can be represented as an equation or as a graph.

In graph form, a probability density function is a curve. You can determine the probability that a value will fall within a certain interval by calculating the area under the curve within that interval. You can use reference tables or software to calculate the area.

The area under the whole curve is always exactly one because it’s certain (i.e., a probability of one) that an observation will fall somewhere in the variable’s range.

A cumulative distribution function is another type of function that describes a continuous probability distribution.

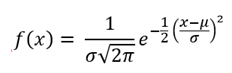
Example: Probability density function
The probability density function of the normal distribution of egg weight is given by the formula:

f(x) = \dfrac{1}{\sigma\sqrt{2\pi}}e^{-\frac{1}{2}\left(\dfrac{x-\mu}{\sigma}\right)^2}

Where:

  • f(x) is the probability density of egg weight
  • \mu is the mean egg weight in the population (\mu = 1.85 oz., in this case)
  • \sigma is the standard deviation of egg weight in the population (\sigma = 0.13 oz., in this case)

    The probability of an egg being exactly 2 oz. is zero. Although an egg can weigh very close to 2 oz., it is extremely improbable that it will weigh exactly 2 oz. Even if a regular scale measured an egg’s weight as being 2 oz., an infinitely precise scale would find a tiny difference between the egg’s weight and 2 oz.

    The probability that an egg is within a certain weight interval, such as 1.98 and 2.04 oz., is greater than zero and can be represented in the graph of the probability density function as a shaded region:

    shaded_area_example

    The shaded region has an area of .09, meaning that there’s a probability of .09 that an egg will weigh between 1.98 and 2.04 oz. The area was calculated using statistical software.

    Common continuous probability distributions

    Distribution Description Example
    Normal Describes data with values that become less probable the farther they are from the mean, with a bell-shaped probability density function. SAT scores
    Continuous uniform Describes data for which equal-sized intervals have equal probability. The amount of time cars  wait at a red light
    Log-normal Describes right-skewed data. It’s the probability distribution of a random variable whose logarithm is normally distributed. The average body weight of different mammal species
    Exponential Describes data that has higher probabilities for small values than large values. It’s the probability distribution of time between independent events. Time between earthquakes

    How to find the expected value and standard deviation

    You can find the expected value and standard deviation of a probability distribution if you have a formula, sample, or probability table of the distribution.

    Note: Nominal variables don’t have an expected value or standard deviation.

    The expected value is another name for the mean of a distribution. It’s often written as E(x) or µ. If you take a random sample of the distribution, you should expect the mean of the sample to be approximately equal to the expected value.

    • If you have a formula describing the distribution, such as a probability density function, the expected value is usually given by the µ parameter. If there’s no µ parameter, the expected value can be calculated from the other parameters using equations that are specific to each distribution.
    • If you have a sample, then the mean of the sample is an estimate of the expected value of the population’s probability distribution. The larger the sample size, the better the estimate will be.
    • If you have a probability table, you can calculate the expected value by multiplying each possible outcome by its probability, and then summing these values.
    Example: Expected value
    American robins lay between two and four eggs in their nests. Imagine that this probability table describes the probability distribution of the number of robin eggs per nest:

    Eggs Probability
    2 0.2
    3 0.5
    4 0.3

    What is the expected value of robin eggs per nest?

    Multiply each possible outcome by its probability:

    Eggs (x) Probability (P(x)) x * P(x)
    2 .2 2 * 0.2 = 0.4
    3 .5 3 * 0.5 = 1.5
    4 .3 4 * 0.3 = 1.2

    Sum the values:

    E(x) = 0.4 + 1.5 + 1.2

    E(x) =  3.1 eggs

    The standard deviation of a distribution is a measure of its variability. It’s often written as σ.

    • If you have a formula describing the distribution, such as a probability density function, the standard deviation is sometimes given by the σ parameter. If there’s no σ parameter, the standard deviation can often be calculated from other parameters using formulas that are specific to each distribution.
    • If you have a sample, the standard deviation of the sample is an estimate of the standard deviation of the population’s probability distribution. The larger the sample size, the better the estimate will be.
    • If you have a probability table, you can calculate the standard deviation by calculating the deviation between each value and the expected value, squaring it, multiplying it by its probability, and then summing the values and taking the square root.
    Example: Standard deviation
    Calculate the deviation between each value and the expected value:

    Eggs (x) Probability (P(x)) x E(x)
    2 .2 2 − 3.1 = −1.1
    3 .5 3 − 3.1 = −0.1
    4 .3 4 − 3.1 = 0.9

    Square the values and multiply them by their probability:

    Eggs (x) Probability (P(x)) x E(x) [x E(x)]2 * P(x)
    2 .2 2 − 3.1 = −1.1 (−1.1)2 * 0.2 = 0.242
    3 .5 3 − 3.1 = −0.1 (−0.1)2 * 0.5 = 0.005
    4 .3 4 − 3.1 = 0.9 (0.9)2 * 0.3 = 0.243

    Sum the values and take the square root:

    σ = (0.242 + 0.005 + 0.243)

    σ = (0.49)

    σ = 0.7 eggs

    How to test hypotheses using null distributions

    Null distributions are an important tool in hypothesis testing. A null distribution is the probability distribution of a test statistic when the null hypothesis of the test is true.

    All hypothesis tests involve a test statistic. Some common examples are z, t, F, and chi-square. A test statistic summarizes the sample in a single number, which you then compare to the null distribution to calculate a p value.

    The p value is the probability of obtaining a value equal to or more extreme than the sample’s test statistic, assuming that the null hypothesis is true. In practical terms, it’s the area under the null distribution’s probability density function curve that’s equal to or more extreme than the sample’s test statistic.

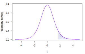
    Example: Testing hypotheses using null distributions
    A one-sample t test is a hypothesis test that uses a test statistic called Student’s t. If a sample has a t of 1.7, we calculate the p value (for a one-sided test) as the shaded area to the right of t = 1.7 in the null distribution of Student’s t:

    t_distribution_example_egg_weight

    The area, which can be calculated using calculus, statistical software, or reference tables, is equal to .06. Therefore, p = .06 for this sample.

    Common null distributions and the statistical tests that use them
    Distribution Statistical tests
    Standard normal (z distribution) One-sample location test
    Student’s t distribution One-sample t test

    Two-sample t test

    Paired t test

    Linear regression

    Pearson correlation

    F distribution ANOVA

    Comparison of nested linear models

    Equality of two variances

    Chi-square Chi-square goodness of fit test

    Chi-square test of independence

    McNemar’s test

    Test of a single variance

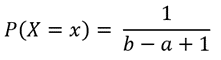
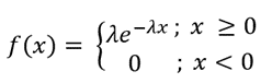
    Probability distribution formulas

    The probability mass functions and probability density functions of common probability distributions
    Distribution Formula Type of formula
    Binomial Picture11 Probability mass function
    Discrete uniform Picture10 Probability mass function
    Poisson Picture9 Probability mass function
    Normal Picture8 Probability density function
    Continuous uniform Picture6 Probability density function
    Exponential Picture7 Probability density function

    Frequently asked questions about probability distributions

    What’s the difference between relative frequency and probability?

    Probability is the relative frequency over an infinite number of trials.

    For example, the probability of a coin landing on heads is .5, meaning that if you flip the coin an infinite number of times, it will land on heads half the time.

    Since doing something an infinite number of times is impossible, relative frequency is often used as an estimate of probability. If you flip a coin 1000 times and get 507 heads, the relative frequency, .507, is a good estimate of the probability.

    What is a normal distribution?

    In a normal distribution, data are symmetrically distributed with no skew. Most values cluster around a central region, with values tapering off as they go further away from the center.

    The measures of central tendency (mean, mode, and median) are exactly the same in a normal distribution.

    Normal distribution

    What are the two types of probability distributions?

    Probability distributions belong to two broad categories: discrete probability distributions and continuous probability distributions. Within each category, there are many types of probability distributions.

    Sources in this article

    We strongly encourage students to use sources in their work. You can cite our article (APA Style) or take a deep dive into the articles below.

    This Scribbr article

    Turney, S. (June 9, 2022). Probability Distribution | Formula, Types, & Examples. Scribbr. Retrieved October 17, 2022, from https://www.scribbr.com/statistics/probability-distributions/

    Is this article helpful?
    Shaun Turney

    During his MSc and PhD, Shaun learned how to apply scientific and statistical methods to his research in ecology. Now he loves to teach students how to collect and analyze data for their own theses and research projects.